产品和服务 / 产品类型 / 生化试剂

HighGene transfection reagent (RM09014)

货号: RM09014
促销价:   ¥900
货    期:现货产品
抗体定制
服务咨询
|
扫码下单
享受积分

产品信息

产品简介
HighGene transfection reagent is a new and highly effective cationic polymer. It interacts with nucleic acids (including plasmids, siRNA, and oligonucleotides) to form a compound that transports nucleic acids into eukaryotic cells and is suitable for the transfection of most eukaryotic cells.
产品特点
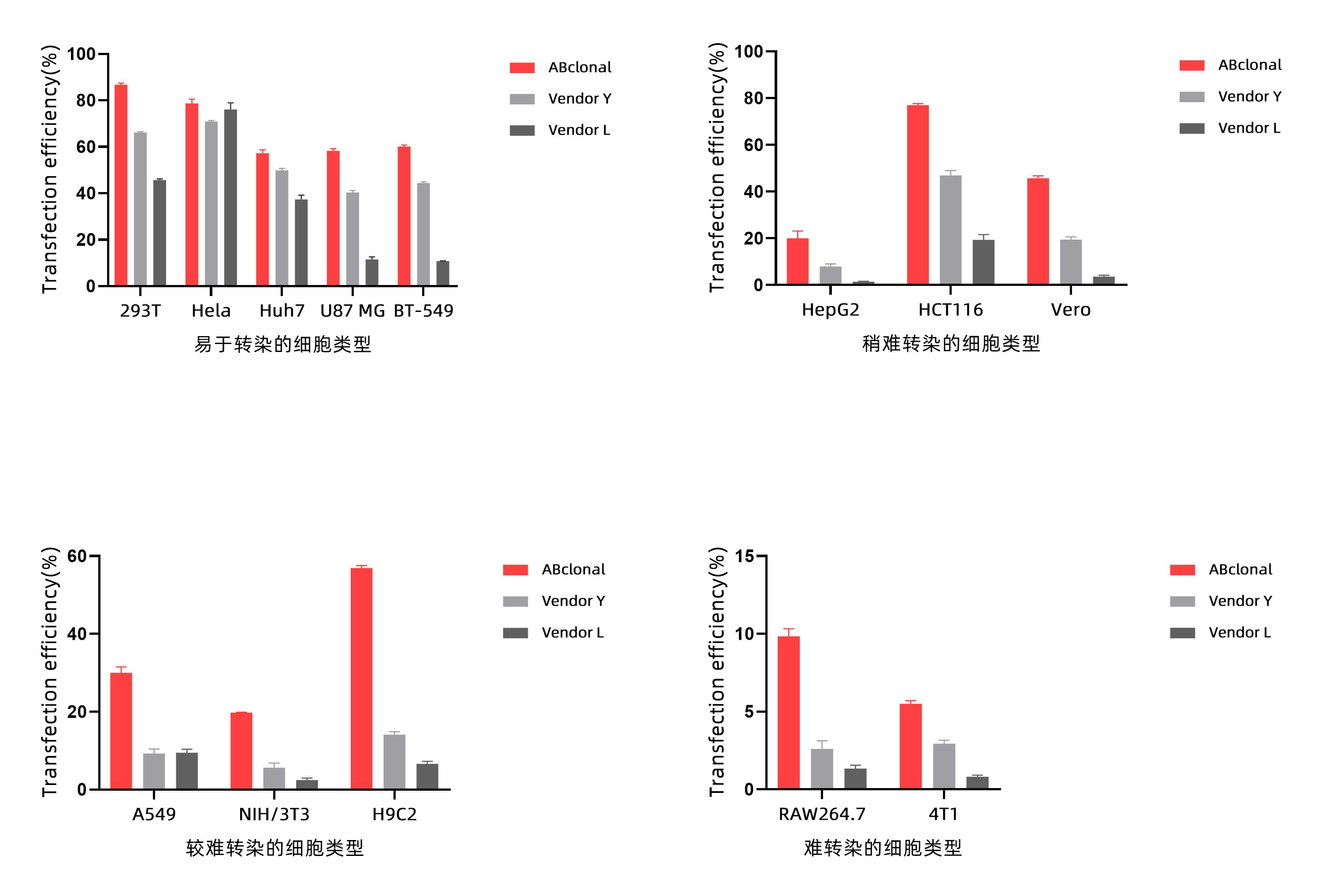
  • 1.High transfection efficiency.
  • 2.Stable batch and good repeatability.
  • 3.Applicable to adherent cell and suspension cell.
  • 4.No obvious cytotoxicity.
  • 5.Applicable for siRNA cell transfection.
  • 6.Applicable to plasmid co-transfection ABclonal selected 293T cell line to perform plasmid co-transfection test, and transfected green fluorescent protein and red fluorescent protein.
  • 7.Applicable to lentivirus packaging and infection experiment.
产品应用
transfection
产品组成
Product Name Catalog No. Size
HighGene Transfection Reagent RM09014 1mL
Instruction - 1

注意事项

  • This product is only used for scientific research, not for clinical diagnosis and treatment.Other considerations For details, please refer to the manual.

保存条件和运输

It shall be stored at 2-8℃ and valid for two years.

客户数据及评论 (15)

折叠内容
CustomerOct 172019
评分
Sample
293T,HeLa
Description
Cell transfection time:24 h
CustomerOct 172019
评分
Sample
MCF7
Description
Cell transfection time:24 h
CustomerOct 172019
评分
Sample
A549
Description
Cell transfection time:24 h
CustomerOct 172019
评分
Sample
293T
Description
Cell transfection time:24 h
CustomerJan 102019
评分
Experiment Type
瞬时转染
Sample
HeLa
Description
在HeLa细胞中, HighGene无明显细胞毒性
CustomerJan 092019
评分
Experiment Type
瞬时转染
Sample
A549
Description
在6孔细胞板中接种A549细胞,细胞转染时,GFP真核表达Loading Amount为2μg,HighGene转染试剂用量为4μL,细胞转染24h后,在荧光显微镜下观察并拍照。
CustomerJan 092019
评分
Experiment Type
瞬时转染
Sample
MCF-7/U87MG
Description
在6孔细胞板中接种MCF-7细胞或U87MG细胞,细胞转染时,GFP真核表达Loading Amount为2μg,HighGene转染试剂用量为4μL,细胞转染24h后,在荧光显微镜下观察并拍照。
CustomerDec 272018
评分
Experiment Type
瞬时转染
Sample
293T cell
Description
细胞密度为2.5X10^5/ 3 cm dish,Abclonal?其他三?(TOOLSmoothFect, Lipofectamine 2000 及 Lipofectamine LTX)比?後,四?的?染效率皆??80-90%,Abclonal效率目?略高於三者一些。
CustomerNov 012018
评分
Experiment Type
瞬时转染
Sample
MCF7
Description
Sample:3 μg,Loading Amount::4μl
CustomerNov 012018
评分
Experiment Type
瞬时转染
Sample
MCF7
Description
Sample:3 μg,Loading Amount::4μl
CustomerOct 172018
评分
Experiment Type
瞬时转染
Sample
MCF7
Description
Sample:3 μg,Loading Amount::4μl
CustomerOct 172018
评分
Experiment Type
瞬时转染
Sample
MCF7
Description
Sample:3 μg,Loading Amount::4μl
CustomerAug 272018
评分
Experiment Type
瞬时转染
Sample
293T
Description
在6孔细胞板中接种293T细胞,细胞密度为60%左右,使用HighGene转染试剂进行细胞转染,蛋白分子量不同的真核表达Loading Amount均为2μg,细胞转染24小时后,收集细胞制备裂解液进行WB实验。
CustomerAug 242018
评分
Experiment Type
瞬时转染
Sample
sf9
Description
HighGene转染试剂适用于Sf9昆虫细胞系的转染。在6孔细胞板中接种1×106个Sf9昆虫细胞,使用HighGene转染试剂进行细胞转染,Bacmid-GFPLoading Amount为3μg,细胞转染5天后,在荧光显微镜下观察并拍照。
CustomerAug 162018
评分
Experiment Type
瞬时转染
Sample
293T
Description
在相同情况下,使用ABclonal和lipo3000转染试剂进行293T细胞转染,48小时后测试抗体表达浓度,ABclonal转染试剂转染效果是lipo3000的近2倍。

文献引用 (109)

Publishing research using RM09014? Please let us know so that we can cite the reference in this datasheet.

说明书

说明书下载