产品和服务 / 产品类型 / ELISA试剂盒 / ELISA 抗体对

Rabbit anti-SARS-CoV-2 Nucleocapsid Protein mAb (CAP) (RM17574)

This standard curve is only for demonstration purposes. A standard curve should be generated for each assay.

No cross-reactivity in ELISA with MERS-CoV Nucleoprotein protein and SARS Coronavirus Nucleocapsid.

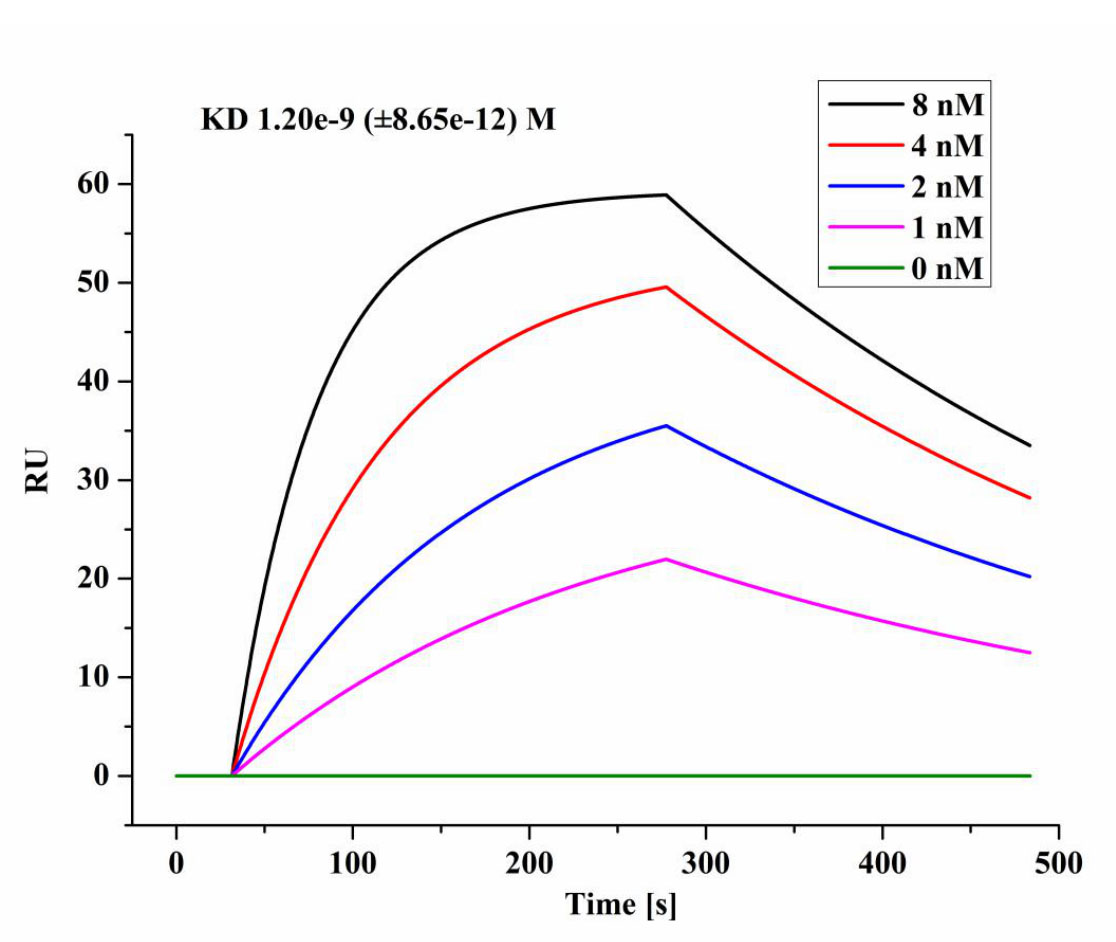
Cat. No. RM17574, captured on COOH chip can bind AB1 with an affinity constant of 1.20nM as determined in a LSPR assay .

All(3)|
货号: RM17574
促销价:   ¥500
抗体定制
服务咨询
|
扫码下单
享受积分

详细信息

产品名称
Rabbit anti-SARS-CoV-2 Nucleocapsid Protein mAb (CAP)
货号
RM17574
免疫原
HK293 derived SARS-COV-2 Nucleocapsid
Ser2-Ala419
Accession #YP_009724397.2
纯化方式
Affinity purification
同种型
Rabbit IgG
内毒素水平
< 1.0 EU/μg of the protein by LAL method.
存储溶液
Supplied as a 0.2um filtered solution in PBS with 0.1%Braveds MB-1,PH 7.4.
CrossReactivity
Has cross-reactivity in ELISA with
SARS-CoV-2 (2019-nCoV) Nucleocapsid Protein (Cat# RP01281)
No cross-reactivity in ELISA with
MERS-CoV Nucleoprotein protein
HCoV-229E Nucleoprotein protein
存储条件
Store at -20℃. Avoid freeze / thaw cycles. Preservative:0.05%ProClin 300.Avoid repeated freeze-thaw cycles.

* This package insert must be read in its entirety before using this product.

应用

SARS-COV-2 Nucleocapsid Sandwich Immunoassay

 Recommended ConcentrationSample
ELISA Capture1-4ug/mLRabbit anti-SARS-CoV-2 Nucleocapsid Protein mAb(CAP)(Cat. No. RM17574)
ELISA Detection0.05-0.2ug/mLRabbit anti-SARS-CoV-2 Nucleocapsid Protein mAb(DET)(Cat. No. RM17575)
Standard1.56-100pg/mLRecombinant SARS-COV-2 Nucleocapsid Protein with His tag(Cat. No. RP01264)

背景信息

Coronaviruses are enveloped viruses with a positive-sense RNA genome and with a nucleocapsid of helical symmetry. Coronavirus nucleoproteins localize to the cytoplasm and the nucleolus, a subnuclear structure, in both virus-infected primary cells and in cells transfected with plasmids that express N protein. Coronavirus N protein is required for coronavirus RNA synthesis, and has RNA chaperone activity that may be involved in template switch. Nucleocapsid protein is a most abundant protein of coronavirus. During virion assembly, N protein binds to viral RNA and leads to formation of the helical nucleocapsid. Nucleocapsid protein is a highly immunogenic phosphoprotein also implicated in viral genome replication and in modulating cell signaling pathways. Because of the conservation of N protein sequence and its strong immunogenicity, the N protein of coronavirus is chosen as a diagnostic tool.