
产品和服务 / 产品类型 / ELISA试剂盒 / ELISA 抗体对
* This package insert must be read in its entirety before using this product.
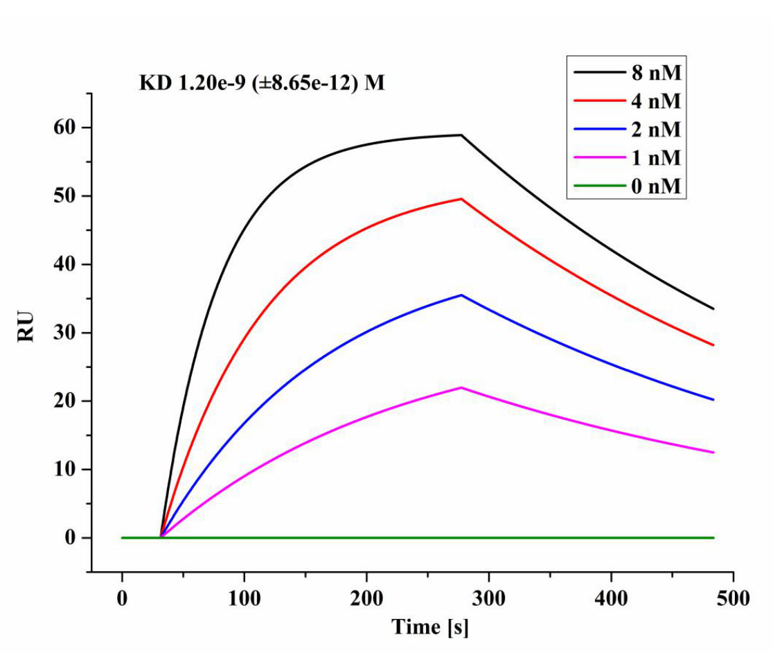
SARS-COV-2 Nucleocapsid Sandwich Immunoassay
| Recommended Concentration | Sample | |
|---|---|---|
| ELISA Capture | 1-4ug/mL | Rabbit anti-SARS-CoV-2 Nucleocapsid Protein mAb(CAP)(Cat. No. RM17574) |
| ELISA Detection | 0.05-0.2ug/mL | Rabbit anti-SARS-CoV-2 Nucleocapsid Protein mAb(DET)(Cat. No. RM17575) |
| Standard | 1.56-100pg/mL | Recombinant SARS-COV-2 Nucleocapsid Protein with His tag(Cat. No. RP01264) |
Coronaviruses are enveloped viruses with a positive-sense RNA genome and with a nucleocapsid of helical symmetry. Coronavirus nucleoproteins localize to the cytoplasm and the nucleolus, a subnuclear structure, in both virus-infected primary cells and in cells transfected with plasmids that express N protein. Coronavirus N protein is required for coronavirus RNA synthesis, and has RNA chaperone activity that may be involved in template switch. Nucleocapsid protein is a most abundant protein of coronavirus. During virion assembly, N protein binds to viral RNA and leads to formation of the helical nucleocapsid. Nucleocapsid protein is a highly immunogenic phosphoprotein also implicated in viral genome replication and in modulating cell signaling pathways. Because of the conservation of N protein sequence and its strong immunogenicity, the N protein of coronavirus is chosen as a diagnostic tool.