首页 / 产品和服务 / 产品类型 / 重组蛋白 / 其他蛋白
货号 | 靶点 | 种属 | 表达宿主 | 表达区域 | 标签 | 活性 | 纯度 |
---|---|---|---|---|---|---|---|
RP02853 | PPAR gamma | Human | Baculovirus-Insect Cells | Met1-Tyr505 | N-His&GST | ![]() | |
RP01621 | Angiotensinogen/AGT | Mouse | HEK293 cells | Gly29-Val482 | C-His | ![]() | |
RP01605 | Cathepsin S/CTSS | Mouse | HEK293 cells | Val18-Ile340 | C-His | 有 | ![]() |
RP02783LQ | GPVI | Mouse | HEK293 cells | Gln22-Lys265 | C-His | ![]() ![]() | |
RP01770LQ | MMP-7 | Human | HEK293 cells | Tyr95-Lys267 | C-hFC | ![]() | |
RP02807 | NBL1 | Human | HEK293 cells | Ala17-Asp181 | C-His | ![]() | |
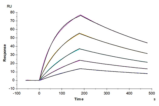
RP02808 | MADCAM1 | Human | HEK293 cells | Gln19-Gln317 | C-His | 有 | ![]() ![]() ![]() |
RP02810 | ADAMTSL1 | Human | Baculovirus-Insect Cells | Glu29-His439 | C-His | ![]() | |
RP01632 | Afamin/AFM | Human | HEK293 cells | Met1-Asn599 | C-His | ![]() | |
RP01662 | Chorionic Gonadotropin/CGA | Human | HEK293 cells | Ala 25-Ser116 | C-6His | ![]() | |
RP01663 | Apolipoprotein H/ApoH | Mouse | HEK293 cells | Gly20-Cys345 | C-6His | ![]() | |
RP01694 | Alpha-synuclein/SNCA | Human | E. coli | Met1-Ala140 | NO-tag | ![]() | |
RP02814 | GAS-6 | Mouse | HEK293 cells | Val28-Pro674 | C-His | 有 | ![]() ![]() ![]() ![]() |
RP02817LQ | Creatine Kinase MM/CKMM | Human | HEK293 cells | Met1-Lys381 | C-His | ![]() | |
RP02856LQ | AIFM1/AIF | Human | E.coli | Glu121-Asp613 | N-His | ![]() |